

在你閱讀這篇文章之前,我建議你先打開一瓶遲到的生日啤酒。把啤酒倒入透明的玻璃杯(品脫杯或鬱金香杯,隨你喜歡),對著光線仔細觀察它的顏色。
啤酒呈現「啤酒色」而非像水一樣清澈,主要歸因於兩種基本的化學反應。一種反應將胺基酸與醣類結合;另一種反應則促進醣類分解。除了賦予啤酒顏色外,這些反應的產物還為最終釀造的啤酒增添了顯著的風味。
一百年前的十月,法國化學家路易-卡米爾·馬亞爾的研究成果使美拉德反應首次出現在科學文獻中。而美拉德反應是理解琥珀啤酒與黑啤酒、黑啤酒與小麥啤酒或淡色艾爾啤酒外觀差異的關鍵反應之一。
美拉德反應也稱為「褐變」。烤麵包或煎肉時,發生的就是美拉德反應。在啤酒釀造中,烘焙麥芽會引發美拉德反應,從而產生較深的麥芽,例如特級B麥芽、巧克力麥芽和黑麥芽。美拉德反應和焦糖化過程賦予了烘焙麥芽特有的焦糖或烘焙風味,也賦予了世濤等啤酒特有的深色。 (長時間煮沸也會促進這兩種反應,因此,如果您想要淺色啤酒,請務必縮短煮沸時間。)
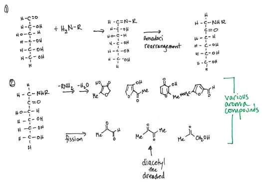
美拉德反應可以概括為「胺基酸與還原糖的反應」。麥芽中含有多種氨基酸(蛋白質的組成單元)和醣類,因此該過程可以生成數百種不同的化學物質。基本反應式如下:

美拉德反應通常在高溫下發生,但也有報告指出在室溫下也能發生。
焦糖化則是一種熱解:一種在無氧條件下發生的化學分解反應。簡單來說,就是加熱糖直到它自己分解。焦糖化會產生多種產物,但主要的香氣化合物包括呋喃類、二乙醯和乙酸乙酯。焦糖化反應只能在高溫下發生。

以下是各種烘焙、烘焙、巧克力味、餅乾味麥芽的製作方法。
首先,大麥粒要經過發芽處理──也就是讓它們部分發芽。在這個過程中,大麥粒中的一些酵素會將胚乳中的澱粉分解成果糖和葡萄糖等遊離糖。正常發芽時,這些糖分會為芽的初期生長提供能量,直到它開始進行光合作用。但是,麥芽師——也就是那些負責大麥發芽的人——會在發芽過程開始後不久就通過加熱或乾燥大麥粒來終止它。根據麥芽師最終想要製作的麥芽種類,大麥粒可以直接放入烘窯,也可以先乾燥後再進行烘窯。
對於未乾燥的麥芽粒,麥芽粒會直接將青麥芽放入烘焙爐。高溫會活化麥芽粒中的其他酶,並將大部分澱粉轉化為液態糖。然後,麥芽業者將烘焙爐的溫度提高到華氏220至320度之間;此時焦糖化反應最為劇烈。麥芽粒中的液態糖開始熱分解,產生帶有奶油味、葡萄乾味或其他類似太妃糖香氣的化合物。這些化合物的生成量和比例取決於烘焙的溫度和時間。最終,這些化合物就形成了所謂的焦糖麥芽或水晶麥芽,您可能在BeerSci提供的一些配方中見過它們。
【題外話:在圖示中,我只畫出了美拉德反應和焦糖化反應產生的幾種香氣化合物,包括賦予啤酒果香或果醬風味的4-羥基-5-甲基-3(2h)呋喃酮、聞起來像棉花糖的麥芽酚,以及賦予啤酒奶油香氣的雙乙醯。我在圖中稱之為“可怕的雙乙醯”,是因為這種化合物是啤酒中最常見的異味之一,通常是由於發酵溫度過高或其他釀造缺陷造成的。少量雙乙醯是可以接受的,但過多的雙乙醯會讓啤酒變得無法飲用。 BeerSci團隊最近就因為收尾時雙乙醯含量過高而不得不把一小批啤酒倒掉了。 】
另一方面,乾燥的麥芽粒在烘焙過程中焦糖化程度較低。相反,美拉德反應佔據主導地位,從而產生類似新鮮吐司、巧克力或烘焙咖啡的烘焙香氣。烘焙麥芽(即因美拉德反應而帶有烘焙風味的麥芽),例如琥珀麥芽,需在約 335 華氏度(約 163 攝氏度)的溫度下烘焙。烘焙麥芽則兼具美拉德反應和焦糖化兩種香氣,其烘焙溫度介於 420 至 480 華氏度(約 215 至 243 攝氏度)之間。烘焙麥芽包括巧克力麥芽和黑麥芽。
顏色呢?
麥芽對最終啤酒顏色的影響通常以洛維邦度(Lovibond)表示。例如,Crystal 20 是一種經過烘焙處理的焦香麥芽,其洛維邦度為 20 度,比 Crystal 80 更淺。大多數淡色基礎麥芽,例如二棱大麥,洛維邦度低於 5 度。但由於焦香/焦糖麥芽的加工方式與烘焙麥芽不同,Crystal 20 的風味與同樣為 20 度洛維邦的烘焙麥芽截然不同。此外,在乾式烘焙的烘焙麥芽中,烘焙程度也存在一個連續光譜。就我所見,消費者對於烘焙麥芽和烘焙麥芽的區分並沒有明確的界線。你只需要閱讀其他人對特定麥芽的體驗(每個麥芽商可能都有自己的怪癖),然後自己進行實驗。
為了確定啤酒的顏色,釀酒師使用另一種標度:SRM(標準參考測量值),它表示在光度計中,波長為 430 奈米的光能穿透 1 公分厚的啤酒的量。顯然,在電腦螢幕上使用 SRM 標度比較困難(除非經過色彩校正),但 SRM 標度的大致樣式如下:

美拉德反應和焦糖化產生的風味非常濃鬱,如果釀酒師不小心,可能會掩蓋啤酒本身的風味。因此,許多配方,即使總麥芽用量超過10磅,也只需要幾盎司的黑麥芽或120號水晶麥芽。
想了解少量特種麥芽能為啤酒帶來多大的顏色變化,可以品嚐一下內華達山脈酒廠的慶典艾爾啤酒(Celebration Ale)。它的色度約為12 SRM。如果要釀造5加侖的這款啤酒,你需要11.5磅淡色麥芽和1磅35L焦糖麥芽。如果你想釀造顏色較深的啤酒(例如35 SRM),又不想顯著改變風味,可以加入3到4盎司的脫苦黑麥芽。
另一方面,我們剛喝了第一瓶俄羅斯帝國世濤——這是一款顏色非常深的啤酒,帶有濃鬱的烘焙、巧克力和焦香麥芽風味,酒精度也很高——這是我們幾週前釀造的。根據配方來源,它的SRM值高達129(極致不透明的黑色),但我自己沒有測量過,所以這個數值僅供參考。由於這款啤酒的初始比重很高,我們只釀造了2.5加侖。它的配方源自1914年由 Ron Pattinson 推薦的「勇氣帝國世濤」(Courage Imperial Stout)。我們實在沒有足夠的容量來釀造5加侖的全麥芽啤酒。
俄羅斯帝國黑啤
7磅12盎司馬里斯奧特淡麥芽
2磅棕麥芽(SRM 65)
1磅黑麥芽(清脆型)(SRM 680)
3盎司東肯特金啤酒花,分成2盎司和1盎司兩批。
1盎司富格爾啤酒花
懷氏酵母 1056
將穀物在華氏 153 度下糖化 120 分鐘。煮沸麥汁 120 分鐘。 30 分鐘後加入 2 盎司 EKG 酒花。 90 分鐘後再加入 1 盎司 EKG 酒花。用富格爾酒花乾投 14 天。
(根據評論修改了食譜)